See also example 7.13 in Additional Examples - The A-Bomb Survivor Data
Computes the estimated number of background cases for each record. These are stored in a variable called %BK. For each record, the estimate is the product of the fitted rate and the person-years (Poisson or grouped survival time models) or the number of trials (case control studies).

The definition of the background rate depends on the type of model. For product additive excess, additive, and geometric mixture models, the default definition of the background rate is:
λsT0
For product additive models, the default definition is
λs0T1
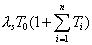
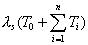
The term number must be specified. For product additive, product additive excess and additive models, the term modifies the definition of the background rate. If # is specified as n, the background rate for the product additive excess risk model becomes

While the background rate for product additive models becomes

And the background rate for additive models is

The value of the term does not change the definition of the background rates for geometric mixture models. The background variable will be calculated for each model until the Remove computation box is checked.
Related script commands